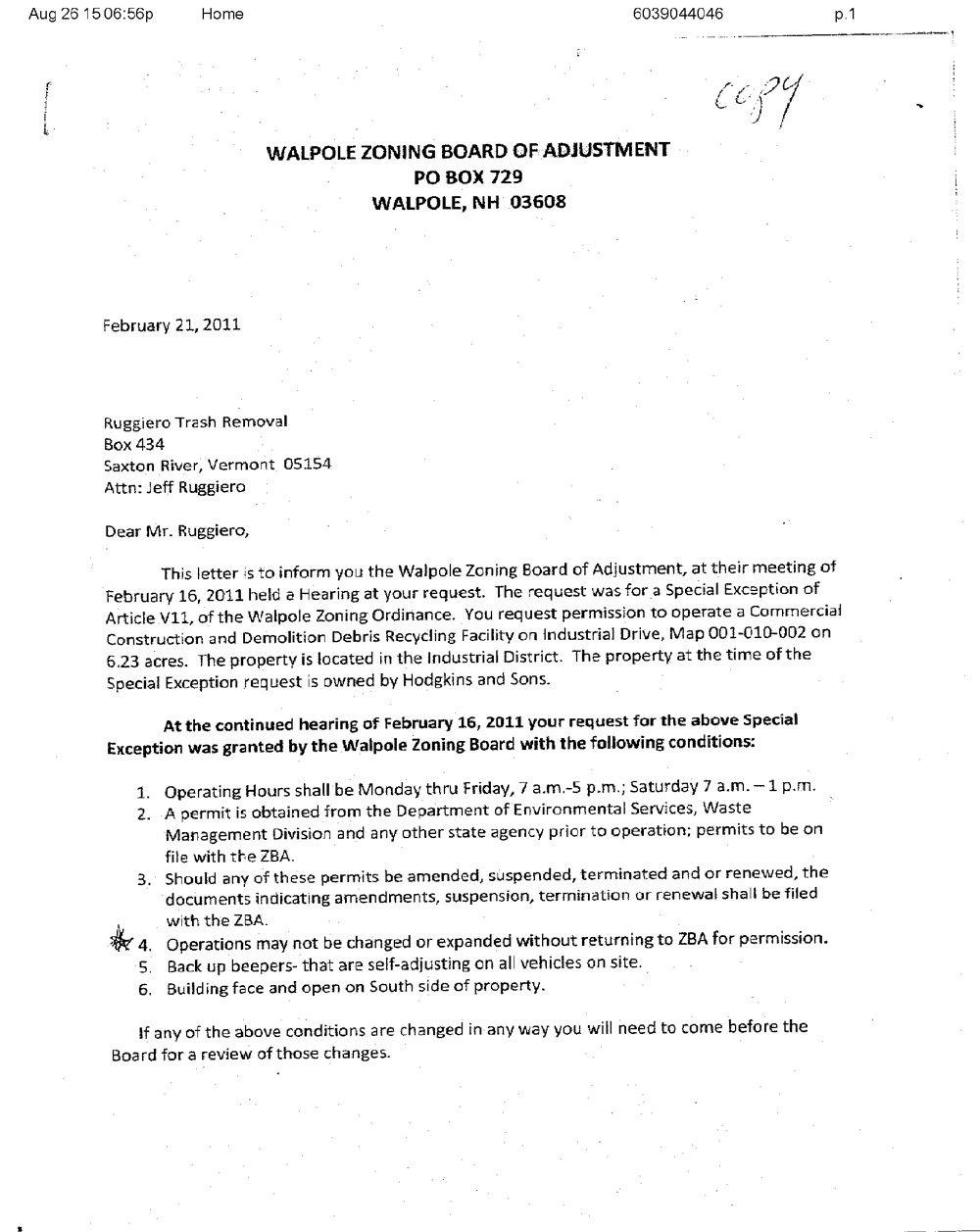
Like me, you may have been wondering just exactly the variance given by the Zoning Board to Ruggerio Trash Removal. Thanks to Sheila Lannon I was given a copy and then France Menk helped me get it to a format that could be inserted here. (The quality of the fax isn’t the best but I hope you can read it.) It remains to be seen what it will mean but at least we know what it said. – Lil


thanks, Lil…if you enlarge the screen, it’s easy enough to read..cheers
France Menk Photography
845 750 5261
http://www.france-menk.com
http://www.francemenkphotoworkshops.com
http://www.sbasa.net
linkedin
facebook twitter
founding member Gunks Climbers’ Coalition gunksclimbers.org
We are ‘green.’ This email sent with recycled electrons
LikeLike